Uvedba linijskih avtobusnih prevozov do Negove
datum: 31.08.2016
kategorija: Sporočilo za javnost
UVEDBA LINIJSKIH AVTOBUSNIH PREVOZOV DO NEGOVE
Spoštovane občanke in občani,
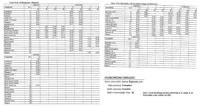
z veseljem vas obveščamo, da se s 1. 9. 2016 pripravlja sprememba pri šolskih prevozih, vezanih na šolski okoliš Osnovne šole dr. Antona Trstenjaka Negova, saj se prehaja na linijski prevoz, ki ga bo opravljalo podjetje Arriva d.d. Maribor. Gre za veliko pridobitev, saj se boste v teh terminih in s tem prevozom lahko vozili tudi ostale občanke in občani, vzpostavljeni pa bosta tudi dve dodatni liniji za povezovanje Negove z Benediktom in Gornjo Radgono, kar je razvidno iz priloženega voznega reda (na drugi strani tega obvestila), katerega pa si lahko ogledate tudi na spletni strani prevoznika www.arriva.si – zavihek vozni redi.
To pomeni veliko pridobitev za uporabnike avtobusnih prevozov, saj bo na podlagi navedenega Negova bolj povezana z Benediktom in Gornjo Radgono, zato upamo, da jih boste v bodoče z veseljem uporabljali.
Župan Občine Gornja Radgona
Stanko Rojko



























